Космос
вернуться

Саган Карл

Шрифт:

Насколько ошеломляющее и неожиданное заключение! Какое элегантное доказательство! Но пифагорейцы считали необходимым скрывать это великое открытие.

497

 

ПРИЛОЖЕНИЕ 2. Пять пифагоровых* тел

Правильный многоугольник - это двумерная фигура с определенным числом л одинаковых сторон. В случае л = 3 получается равносторонний треугольник, при = 4 - квадрат, при л = 5 - правильный пятиугольник и т. д. Многогранник - это трехмерная фигура, все стороны которой являются многоугольниками. Например, куб имеет шесть квадратных граней. Правильным называют многогранник, все грани которого представляют собой одинаковые правильные многоугольники, причем в каждой вершине сходится одинаковое число граней. Для работ пифагорейцев и Кеплера фундаментальное значение имеет факт, что существует пять, и только пять, правильных тел. Простейшее доказательство этого факта можно получить из открытого значительно позже Декартом и Леонардом Эйлером соотношения, связывающего число граней F, число ребер Е и число вершин Ив любом многограннике:

V-E+F=2. (2)

Так, у куба 6 граней (F= 6) и 8 вершин (V = 8). Отсюда получаем: 8 - + 6 = 2; 14 - Е = 2 и = 12. Уравнение (2) предсказывает, что у куба 12 ребер, и это соответствует действительности. Простое геометрическое доказательство уравнения (2) можно найти в книге Куранта и Роббинса «Что такое математика?»**. Пользуясь уравнением (2), легко доказать, что существует всего пять правильных тел.

* В русскоязычной литературе принято говорить о Платоновых телах.
– Пер. ** Курант Р., Роббинс Г. Что такое математика? Элементарный очерк идей и методов. РХД, 2001.

498

Каждое ребро правильного многогранника является общей стороной двух прилегающих друг к другу граней. Возвращаясь к примеру с кубом: каждое ребро - это граница между двумя квадратами. Если мы подсчитаем все стороны всех граней многогранника nF, то каждое ребро окажется сосчитанным дважды, то есть

nF = 2E (3)

Обозначим r число ребер, которые сходятся в одной вершине. Для куба r = 3. Кроме того, каждое ребро соединяет две вершины. Если мы подсчитаем концы всех ребер /V, то вновь сосчитаем каждую вершину дважды, то есть

rV = 2E (4)

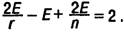
Подставляя выражения для V и F из уравнений (3) и (4) в уравнение (2), получаем:

Деление обеих частей уравнения на 2Е дает:

(5)

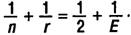
Мы знаем, что значение л не может быть меньше 3, поскольку треугольник является простейшим многоугольником. Нам также известно, что r не может быть меньше 3, поскольку в каждой вершине многогранника сходится не меньше трех граней. Если n и r одновременно будут больше 3, то с учетом того, что они являются целыми числами, левая часть уравнения (5) окажется меньше либо равна 1/2, и ни при каком значении Е оно не будет превращаться в равенство. Таким образом, осуществив reductio ad absurdum, мы доказали, что либо n=3 и r >= 3, либо r = 3 и n >= 3.

Если n = 3, уравнение (5) принимает вид

(1/3) + (1/r) = (1/2) + (1/Е) или

(6)

499

В данном случае г может принимать только значения 3, 4 и 5. (При л, равном и большем 6, уравнение не имеет решений.) Значения n = 3, r = 3 соответствуют многограннику, у которого в каждой вершине сходится по три треугольника. Согласно уравнению (6) он имеет 6 ребер; согласно уравнению (3) у него 4 грани; согласно уравнению (4) - 4 вершины. Очевидно, что это пирамида, или тетраэдр. При n = 3, r = 4 получаем восьмигранник, у которого в каждой вершине сходится по четыре треугольные грани, - октаэдр. Значения n = 3, r = 5 соответствуют икосаэдру - многограннику с двадцатью треугольными гранями, в каждой вершине которого сходится по пять треугольников.

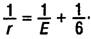
Если r = 3, уравнение (5) приобретает вид

и, повторив аналогичные рассуждения, мы получим, что л может принимать только значения 3, 4 и 5. При n = 3 вновь получается тетраэдр. Значению n = 4 соответствует многогранник, составленный из 6 квадратов, - куб, а при л = 5 результатом будет 12-гранник, состоящий из пятиугольников, - додекаэдр.

Другие сочетания целых чисел не подходят в качестве значений л и л, а значит, существует только 5 правильных многогранников*. Этот вывод, полученный в результате красивых абстрактных математических рассуждений, оказал, как вы уже знаете, весьма глубокое воздействие на практические дела людей.

* Приведенные рассуждения доказывают лишь то, что правильных многогранников может быть не больше пяти. Из них еще не следует, что хоть один из многогранников, соответствующих допустимым значениям n и r, существует. То, что для всех пар n и r действительно можно построить правильный многогранник, - замечательный факт. Ведь вполне могло бы оказаться, что при каком-нибудь из сочетаний n и r грани не сходятся друг с другом. На этом факте обычно не акцентируют внимание, так как многогранники были известны с глубокой древности и никто не сомневался в их существовании.
– Пер.

  • Читать дальше
  • 1
  • ...
  • 118
  • 119
  • 120
  • 121
  • 122
  • 123
  • 124
  • 125
  • 126
  • 127
  • 128
  • ...

Private-Bookers - русскоязычная библиотека для чтения онлайн. Здесь удобно открывать книги с телефона и ПК, возвращаться к сохраненной странице и держать любимые произведения под рукой. Материалы добавляются пользователями; если считаете, что ваши права нарушены, воспользуйтесь формой обратной связи.

Полезные ссылки

  • Моя полка

Контакты

  • help@private-bookers.win