Шрифт:
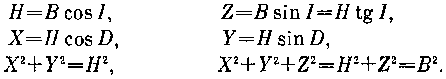
Ясно, что для полного описания вектора В достаточно иметь три независимых элемента. По ним могут быть рассчитаны все остальные.
Обычная стрелка магнитного компаса уравновешивается, вращаясь горизонтально на вертикальной оси. В северной полусфере Земли почти везде северный полюс магнитной стрелки направлен вниз (т. е. I положительно), а в южном полушарии I отрицательно, поскольку вниз направлен южный полюс стрелки. Линия, которая разделяет области положительного и отрицательного I, называется магнитным экватором или экватором наклонения. Естественно, что на ней I=0, т. е. магнитная стрелка в любой точке на этой кривой располагается горизонтально.
На полюсах магнитного наклонения горизонтальная компонента полного вектора В исчезает и магнитная стрелка устанавливается вертикально. Эти точки еще называют полюсами наклонения. Таких точек в принципе может быть несколько. Две основные из них обычно называются магнитными полюсами Земли. Они расположены в Арктике и в Антарктиде. Координаты их 75°,6 с. ш., 101° з. д. и 66°,3 ю. ш., 141° в. д. Местоположение магнитных полюсов не является постоянным. Приведенные выше координаты относятся к эпохе 1965 г.
Чтобы определить азимут вектора Н, нужно выбрать некоторое нулевое направление, от которого можно отсчитывать магнитное склонение D. За такое направление принято направление на северный географический полюс. Таким образом, D определяется относительно условного направления, поскольку ось вращения Земли не связана непосредственно с конфигурацией геомагнитного поля. То же относится и к элементам X и Y. Поэтому D, X, Y называют относительными магнитными элементами, тогда как H, Z и I именуются собственными магнитными элементами.
Несколько слов о магнитных картах. Обычно через каждые 5 лет распределение магнитного поля на поверхности Земли представляется магнитными картами трех или более магнитных элементов. На каждой из таких карт проводятся изолинии, вдоль которых данный элемент имеет постоянную величину. Линии равного склонения D называются изогонами, наклонения I — изоклинами, величины полной силы В — изодинамическими линиями или изодинами. Изомагнитные линии элементов H, Z, X и Y называются соответственно изолиниями горизонтальной, вертикальной, северной или восточной компонент.
Направление оси магнитного диполя практически не меняется с 1829 г. При этом магнитный момент диполя систематически уменьшался. Его уменьшение может быть аппроксимировано выражением
где t — время в годах, отсчитываемое вперед или назад от 1900 г. н. э. По этой формуле можно рассчитать, что если уменьшение магнитного момента будет продолжаться с такой же скоростью, то к 3991 г. магнитный момент станет равным нулю.
Мы будем постоянно иметь дело с геомагнитными силовыми линиями, а также различного рода координатами.
Геомагнитные дипольные координаты — это дополнение к широте ' и восточной долготе '. Они определяются относительно полярной оси и нулевого меридиана. Если точка Р имеет географические координаты и , то геомагнитные координаты могут быть вычислены по следующим формулам:
Магнитное склонение дипольного поля — это угол, образованный магнитным и географическим меридианами в точке Р. Он определяется из выражения
Существуют таблицы, которые содержат геомагнитные координаты сетки точек, расположенных через ровные угловые интервалы в географических координатах и . Имеются также сетки географических и геомагнитных координат. По этим сеткам можно легко найти геомагнитные координаты любой точки с известными географическими координатами, и наоборот.
Обратный переход от геомагнитных координат к географическим можно произвести по формулам
Если рассматривать только дипольную часть геомагнитного поля в любой точке Р с геомагнитными координатами ' и ', то потенциал V1, описываемый членами первого порядка, равен V1 = — *cos / r2 Так как V1 не зависит от долготы, то восточная компонента дипольного поля В равна нулю. Северная Н и вертикальная Z составляющие поля получаются равными
где Z0 и Н0 — максимальные значения Z и Н на геоцентрической сфере радиуса , содержащей точку Р. Н0 соответствует полю на геомагнитном экваторе, a Z0 — на северном полюсе. На южном полюсе Z = —Z0.
Наклонение I и магнитную широту ' можно определить из следующих уравнений:
Каждая силовая линия дипольного поля лежит в плоскости геомагнитного меридиана. Ее уравнение